BusphotoBUSPHOTO

Picture Statistics

788 KB


Picture ID:516945
File Size:788 KB
Yazar:Samuel Geisel
Publication Date:12.05.2023 21:46 EET
Days in Database:942
Unique views:141
Comments:0

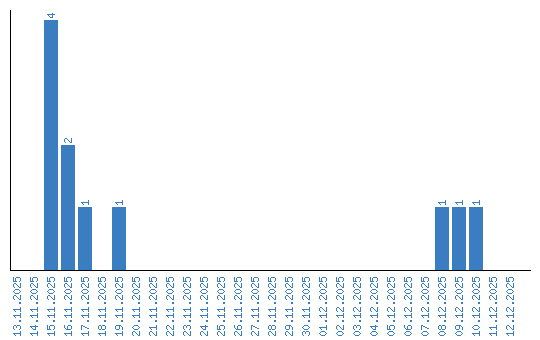
Viewing statistics by date