BusphotoBUSPHOTO

Picture Statistics

4273 KB


Picture ID:394471
File Size:4273 KB
Author:KVG 0215
Publication Date:10.08.2021 19:06 EET
Days in Database:1583
Unique views:190
Comments:0

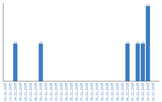
Viewing statistics by date