BusphotoBUSPHOTO

Iнфармацыя аб малюнку

433 КБ


Ідэнтыфікатар малюнка:204385
Памер файла:433 КБ
Аўтар:Димар Техзвуков
Апублікавана:22.10.2017 21:48 EET
Знаходзіцца на сайце, дзён:2986
Унікальных праглядаў:270
Каментароў:0

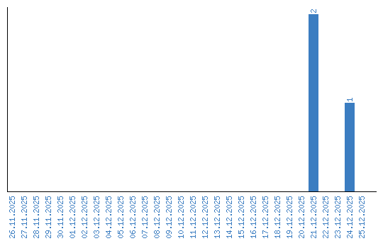
Дынаміка праглядаў па датах