BusphotoBUSPHOTO

Iнфармацыя аб малюнку

494 КБ


Ідэнтыфікатар малюнка:263896
Памер файла:494 КБ
Аўтар:Ashark94
Апублікавана:31.12.2018 16:27 EET
Знаходзіцца на сайце, дзён:2582
Унікальных праглядаў:193
Каментароў:0

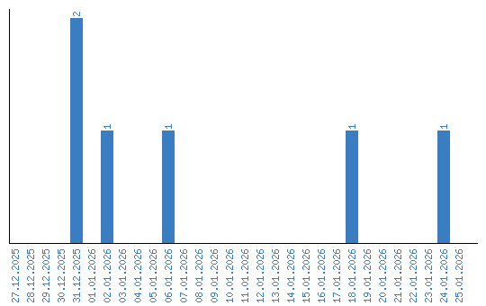
Дынаміка праглядаў па датах