BusphotoBUSPHOTO

Iнфармацыя аб малюнку

0 КБ


Ідэнтыфікатар малюнка:336572
Памер файла:0 КБ
Аўтар:Mau2403
Апублікавана:06.07.2020 22:12 EET
Знаходзіцца на сайце, дзён:2035
Унікальных праглядаў:283
Каментароў:0

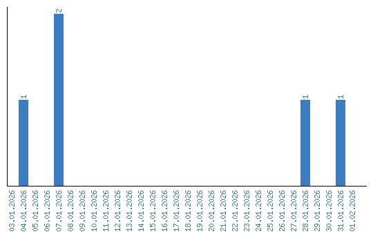
Дынаміка праглядаў па датах