BusphotoBUSPHOTO

Iнфармацыя аб малюнку

369 КБ


Ідэнтыфікатар малюнка:434808
Памер файла:369 КБ
Аўтар:olegp
Апублікавана:01.04.2022 22:12 EET
Знаходзіцца на сайце, дзён:1394
Унікальных праглядаў:303
Каментароў:0

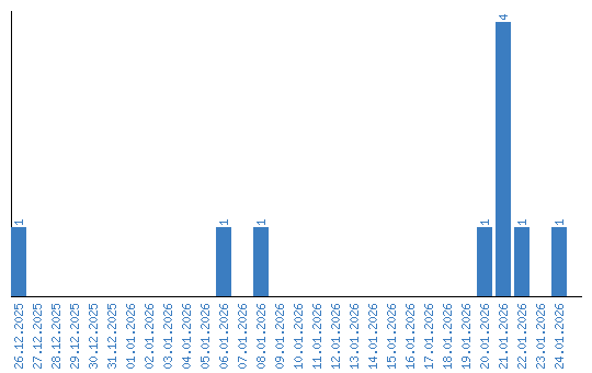
Дынаміка праглядаў па датах