BusphotoBUSPHOTO

Iнфармацыя аб малюнку

495 КБ


Ідэнтыфікатар малюнка:76771
Памер файла:495 КБ
Аўтар:Дмитрий Михайлов
Апублікавана:20.05.2013 15:57 EET
Знаходзіцца на сайце, дзён:4638
Унікальных праглядаў:239
Каментароў:0

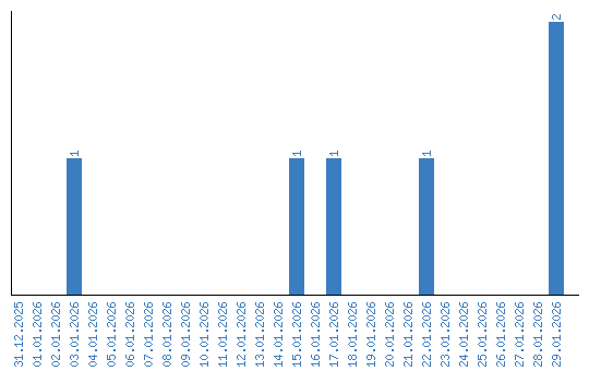
Дынаміка праглядаў па датах