BusphotoBUSPHOTO

Picture Statistics

251 KB


Picture ID:289859
File Size:251 KB
Author:Odd
Publication Date:21.07.2019 23:33 EET
Days in Database:2349
Unique views:428
Comments:0

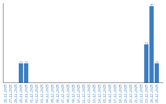
Viewing statistics by date