BusfotoBUSFOTO

Bildinformationen

397 KB


Foto-ID:3840
Dateigröße:397 KB
Aufgenommen von:trolley
Veröffentlicht am:19.03.2011 13:18 EET
Tage seit Veröffentlichung:5438
Aufrufe:445
Kommentare:0

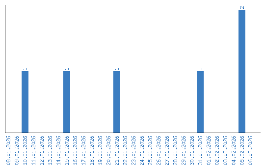
Aufrufestatistik (Tage)