BusfotoBUSFOTO

Bildinformationen

614 KB


Foto-ID:400414
Dateigröße:614 KB
Aufgenommen von:Grænselandets Busser
Veröffentlicht am:17.09.2021 20:33 EET
Tage seit Veröffentlichung:1584
Aufrufe:252
Kommentare:0

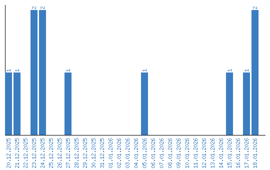
Aufrufestatistik (Tage)