BusphotoBUSPHOTO

Picture Statistics

310 KB


Picture ID:149915
File Size:310 KB
Author:Jessie
Publication Date:04.05.2016 21:44 EET
Days in Database:3559
Unique views:245
Comments:0

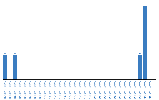
Viewing statistics by date