BusphotoBUSPHOTO

Picture Statistics

325 KB


Picture ID:143942
File Size:325 KB
Author:Verbounty
Publication Date:02.02.2016 08:59 EET
Days in Database:3652
Unique views:269
Comments:2

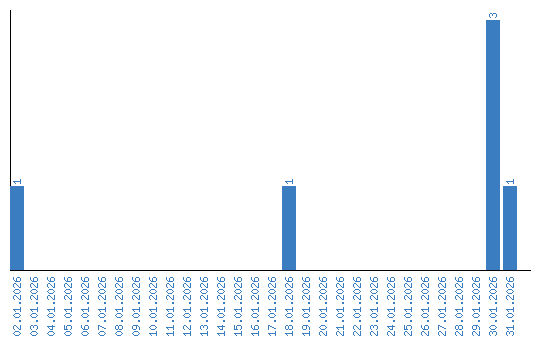
Viewing statistics by date