BusphotoBUSPHOTO

Statistiques d'images

0 KO


ID de l'image:343478
Taille du fichier:0 KO
Auteur:Николай Кармаевский
Date de publication:23.08.2020 09:16 EET
Jours dans la base de données:1950
Vues uniques:117
Commentaires:0

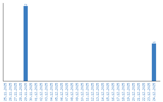
Affichage des statistiques par date