BusphotoBUSPHOTO

Statistiques d'images

397 KO


ID de l'image:372638
Taille du fichier:397 KO
Auteur:Kimmi
Date de publication:28.02.2021 00:30 EET
Jours dans la base de données:1803
Vues uniques:193
Commentaires:0

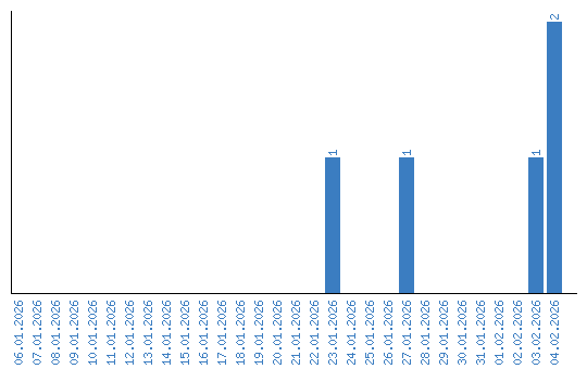
Affichage des statistiques par date