BusphotoBUSPHOTO

Statistiques d'images

496 KO


ID de l'image:500776
Taille du fichier:496 KO
Auteur:Valius Kedainietis
Date de publication:04.03.2023 21:30 EET
Jours dans la base de données:1063
Vues uniques:224
Commentaires:0

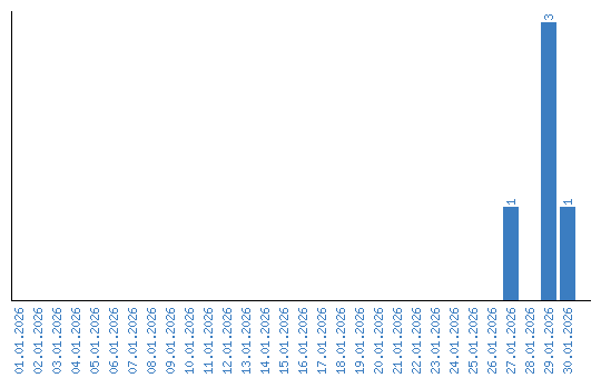
Affichage des statistiques par date