BusphotoBUSPHOTO

Statistiques d'images

645 KO


ID de l'image:616700
Taille du fichier:645 KO
Auteur:Дмитрий_931
Date de publication:17.04.2024 20:48 EET
Jours dans la base de données:650
Vues uniques:748
Commentaires:0

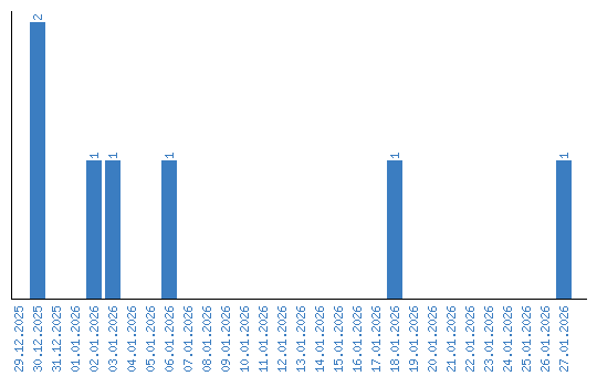
Affichage des statistiques par date