BusphotoBUSPHOTO

Picture Statistics

450 KB


Picture ID:227619
File Size:450 KB
Fotografato da:kajiurago
Publication Date:04.04.2018 21:54 EET
Days in Database:2874
Unique views:463
Comments:0

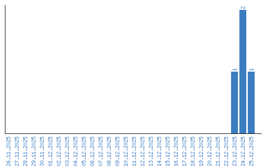
Viewing statistics by date