BusphotoBUSPHOTO

Picture Statistics

0 KB


Picture ID:344251
File Size:0 KB
Fotografato da:MIRVAN
Publication Date:27.08.2020 14:18 EET
Days in Database:1982
Unique views:243
Comments:0

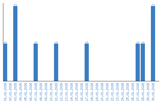
Viewing statistics by date