BusphotoBUSPHOTO

Picture Statistics

468 KB


Picture ID:495122
File Size:468 KB
Caricato da:IKS
Publication Date:04.02.2023 22:57 EET
Days in Database:1117
Unique views:259
Comments:1

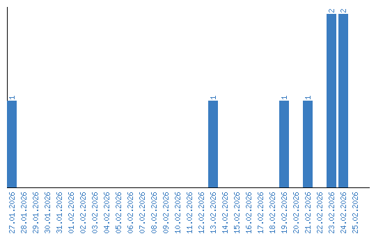
Viewing statistics by date