BusphotoBUSPHOTO

Picture Statistics

678 KB


Picture ID:609918
File Size:678 KB
Fotografato da:МАКСавто
Publication Date:29.03.2024 17:38 EET
Days in Database:672
Unique views:331
Comments:0

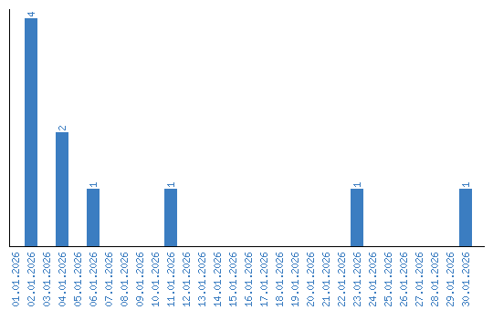
Viewing statistics by date