BusphotoBUSPHOTO

Picture Statistics

285 KB


Picture ID:62798
File Size:285 KB
Fotografato da:ValerG781
Publication Date:01.01.2013 21:21 EET
Days in Database:4808
Unique views:311
Comments:0

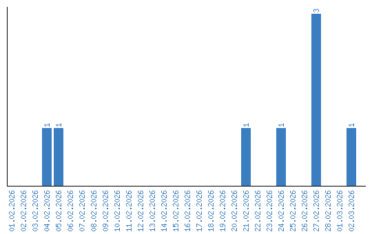
Viewing statistics by date