BusphotoBUSPHOTO

Picture Statistics

545 KB


Picture ID:98815
File Size:545 KB
Author:kr0t
Publication Date:23.01.2014 07:00 EET
Days in Database:4387
Unique views:241
Comments:0

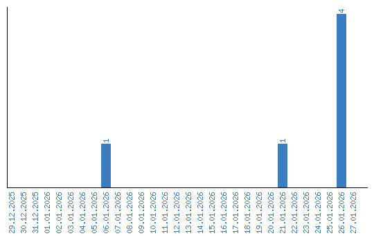
Viewing statistics by date