BusphotoBUSPHOTO.EU

Statystyki zdjęcia

522 kB


Identyfikator zdjęcia:44800
Rozmiar pliku:522 kB
Autor:kr0t
Data publikacji:14.07.2012 21:04 EET
Liczba wyświetleń dzisiaj:4946
Łączna ilość wyświetleń:291
Komentarze:2

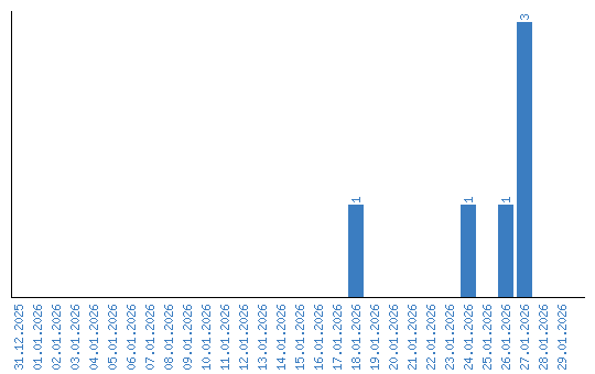
Liczba oglądających według dat