BusphotoBUSPHOTO

Picture Statistics

438 KB


Picture ID:221342
File Size:438 KB
Autorul:Артём Дмитренко
Publication Date:25.02.2018 17:14 EET
Days in Database:2897
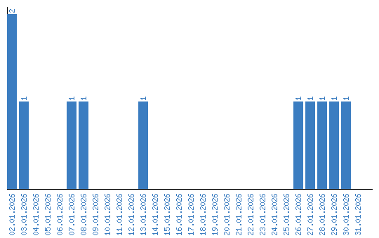
Unique views:257
Comments:0

Viewing statistics by date