BussfotoBUSSFOTO

Bildstatistik

0 KB


Bild ID:338429
Filstorlek:0 KB
Författare:olegp
Publiceringsdatum:19.07.2020 21:35 EET
Dagar i databasen:2030
Unika visningar:291
kommentarer:0

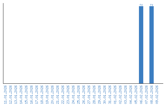
Visar statistik efter datum