BussfotoBUSSFOTO

Bildstatistik

342 KB


Bild ID:41283
Filstorlek:342 KB
Författare:Zigzag Makryg
Publiceringsdatum:15.06.2012 00:02 EET
Dagar i databasen:5008
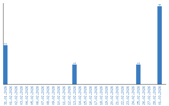
Unika visningar:270
kommentarer:1

Visar statistik efter datum