BusphotoBUSPHOTO

Picture Statistics

418 KB


Picture ID:407082
File Size:418 KB
Yazar:Артём Дмитренко
Publication Date:09.10.2021 21:14 EET
Days in Database:1562
Unique views:353
Comments:0

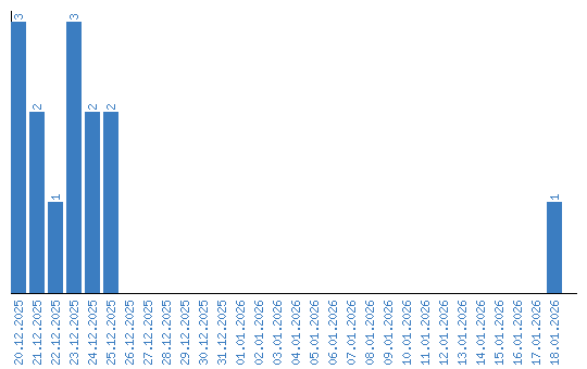
Viewing statistics by date