BusphotoBUSPHOTO

Picture Statistics

362 KB


Picture ID:102116
File Size:362 KB
Author:Кошак Сибирский
Publication Date:10.03.2014 12:14 EET
Days in Database:4357
Unique views:149
Comments:0

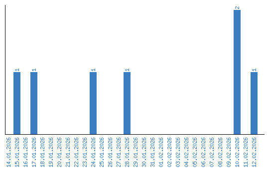
Viewing statistics by date