BusphotoBUSPHOTO

Picture Statistics

482 KB


Picture ID:102387
File Size:482 KB
Author:MedveD
Publication Date:14.03.2014 00:18 EET
Days in Database:4370
Unique views:228
Comments:0

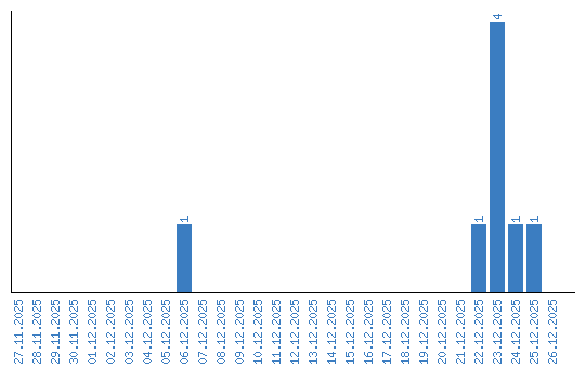
Viewing statistics by date