BusphotoBUSPHOTO

Picture Statistics

487 KB


Picture ID:103661
File Size:487 KB
Fotografato da:MedveD
Publication Date:01.04.2014 05:31 EET
Days in Database:4320
Unique views:297
Comments:0

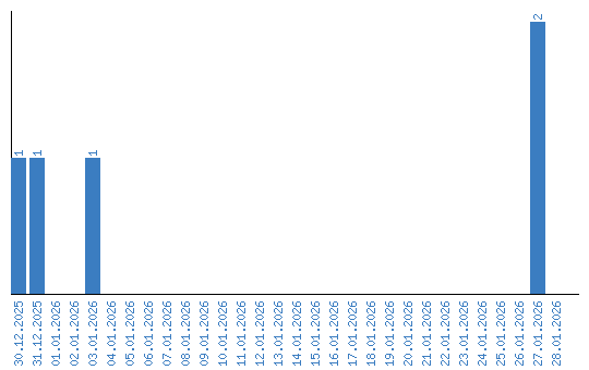
Viewing statistics by date