BusphotoBUSPHOTO

Picture Statistics

340 KB


Picture ID:104038
File Size:340 KB
Autorul:Илья В.
Publication Date:05.04.2014 14:39 EET
Days in Database:4318
Unique views:336
Comments:0

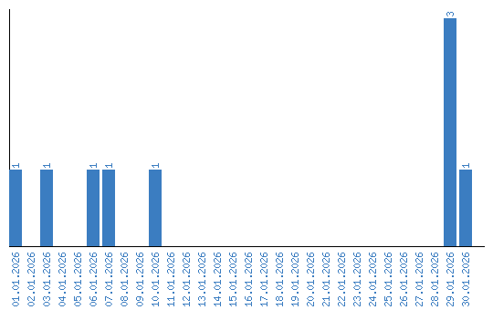
Viewing statistics by date