BusphotoBUSPHOTO

Picture Statistics

295 KB


Picture ID:10413
File Size:295 KB
Author:MedveD
Publication Date:26.07.2011 00:56 EET
Days in Database:5303
Unique views:104
Comments:0

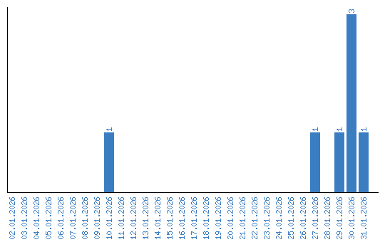
Viewing statistics by date