BusphotoBUSPHOTO

Statistiques d'images

318 KO


ID de l'image:104766
Taille du fichier:318 KO
Auteur:Lauri79
Date de publication:13.04.2014 00:45 EET
Jours dans la base de données:4322
Vues uniques:217
Commentaires:0

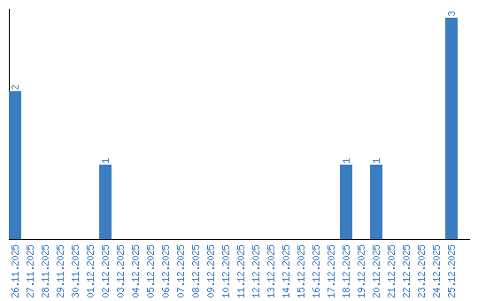
Affichage des statistiques par date