BusphotoBUSPHOTO

Информация об изображении

316 КБ


Идентификатор изображения:106061
Размер файла:316 КБ
Автор:Lauri79
Опубликовано:26.04.2014 04:29 EET
Находится на сайте, дней:4327
Уникальных просмотров:469
Комментариев:0

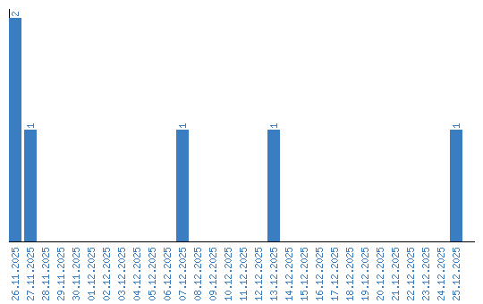
Динамика просмотров по датам