BusphotoBUSPHOTO

Picture Statistics

487 KB


Picture ID:106657
File Size:487 KB
Fotografato da:IKS
Publication Date:02.05.2014 01:41 EET
Days in Database:4257
Unique views:342
Comments:0

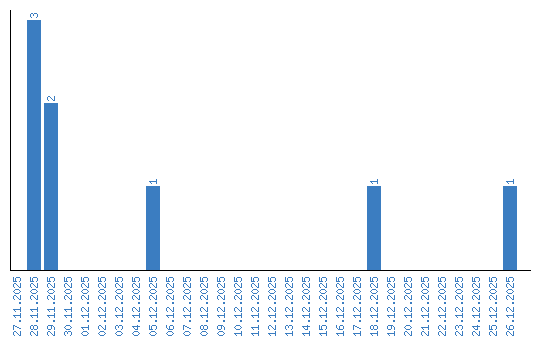
Viewing statistics by date