BusphotoBUSPHOTO

Picture Statistics

168 KB


Picture ID:10902
File Size:168 KB
Autorul:olegp
Publication Date:03.08.2011 23:15 EET
Days in Database:5318
Unique views:261
Comments:0

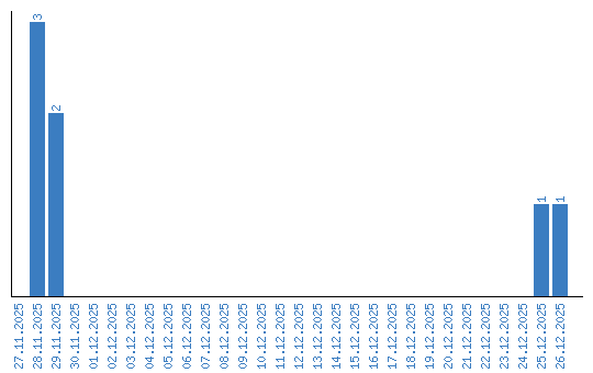
Viewing statistics by date