BusphotoBUSPHOTO

Picture Statistics

300 KB


Picture ID:109296
File Size:300 KB
Author:olegp
Publication Date:06.06.2014 05:35 EET
Days in Database:4221
Unique views:98
Comments:0

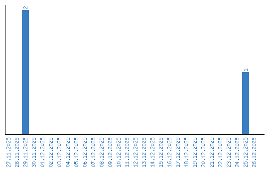
Viewing statistics by date