BusphotoBUSPHOTO

Picture Statistics

467 KB


Picture ID:110523
File Size:467 KB
Author:Аркадий Новожилов
Publication Date:23.06.2014 19:00 EET
Days in Database:4203
Unique views:286
Comments:0

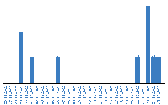
Viewing statistics by date