BusphotoBUSPHOTO

Picture Statistics

280 KB


Picture ID:110826
File Size:280 KB
Author:olegp
Publication Date:28.06.2014 13:06 EET
Days in Database:4198
Unique views:471
Comments:0

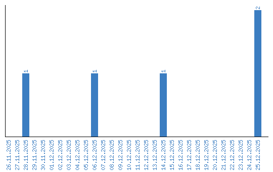
Viewing statistics by date