BusphotoBUSPHOTO

Picture Statistics

366 KB


Picture ID:11353
File Size:366 KB
Author:MedveD
Publication Date:13.08.2011 01:19 EET
Days in Database:5315
Unique views:331
Comments:2

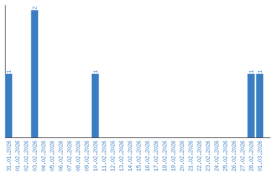
Viewing statistics by date