BusphotoBUSPHOTO

Picture Statistics

238 KB


Picture ID:115109
File Size:238 KB
Author:Кошак Сибирский
Publication Date:02.09.2014 19:32 EET
Days in Database:4132
Unique views:354
Comments:0

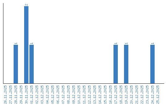
Viewing statistics by date