BusphotoBUSPHOTO

Iнфармацыя аб малюнку

442 КБ


Ідэнтыфікатар малюнка:115818
Памер файла:442 КБ
Аўтар:Серёга
Апублікавана:11.09.2014 19:03 EET
Знаходзіцца на сайце, дзён:4168
Унікальных праглядаў:226
Каментароў:0

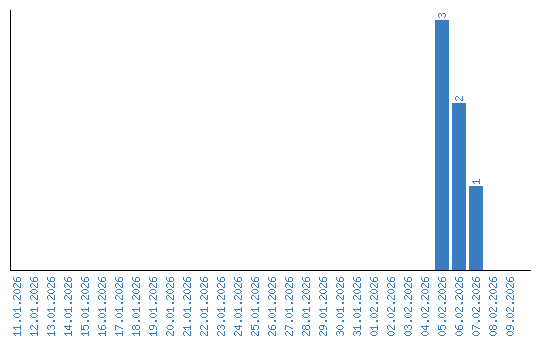
Дынаміка праглядаў па датах