BusphotoBUSPHOTO

Picture Statistics

299 KB


Picture ID:116606
File Size:299 KB
Author:Archi
Publication Date:21.09.2014 20:35 EET
Days in Database:4162
Unique views:229
Comments:0

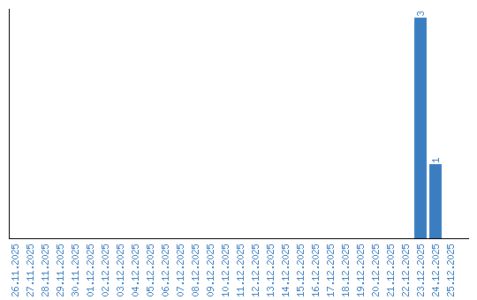
Viewing statistics by date