BusphotoBUSPHOTO

Picture Statistics

242 KB


Picture ID:1178
File Size:242 KB
Author:Саныч
Publication Date:06.03.2011 10:57 EET
Days in Database:5409
Unique views:358
Comments:0

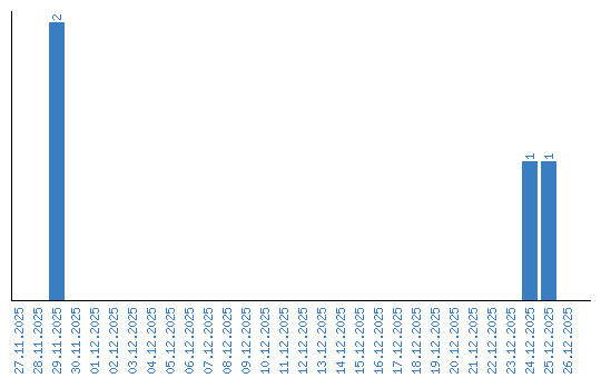
Viewing statistics by date