BusphotoBUSPHOTO

Picture Statistics

344 KB


Picture ID:118161
File Size:344 KB
Yazar:Евгений Александрович
Publication Date:16.10.2014 20:20 EET
Days in Database:4105
Unique views:334
Comments:0

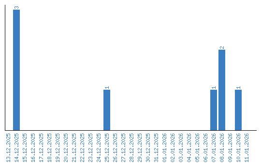
Viewing statistics by date