BusphotoBUSPHOTO

Štatistika obrázku

339 kB


Identifikátor obrázku:120058
Veľkosť súboru:339 kB
Autor:Qvad
Zverejnené:16.11.2014 19:00 EET
Nachádza sa na stránkach (dní):4082
Jednotlivých zhliadnutí:314
Komentárov:0

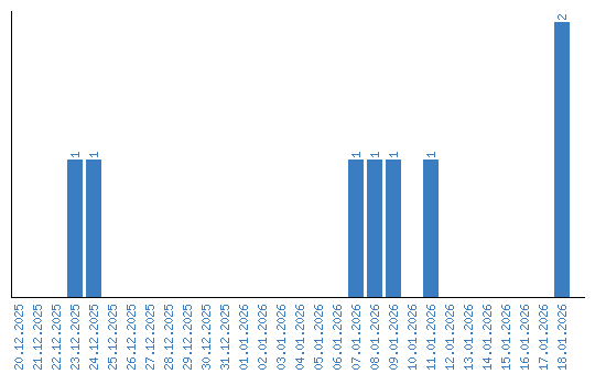
Zobrazenia po jednotlivých dňoch