BusphotoBUSPHOTO

Nuotraukos informacija

191 Kb


Nuotraukos identifikatorius:121954
Bylos dydis:191 Kb
Autorius:Jessie
Publikuota:26.12.2014 21:26 EET
Yra tinklapyje dienų:4041
Unikalių peržiūrų:181
Komentarų:0

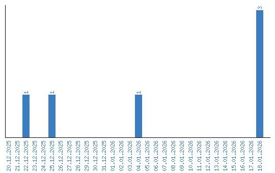
Peržiūrų dinamika pagal dienas