BusphotoBUSPHOTO

Picture Statistics

408 KB


Picture ID:122105
File Size:408 KB
Author:Сахон
Publication Date:28.12.2014 20:19 EET
Days in Database:4064
Unique views:336
Comments:0

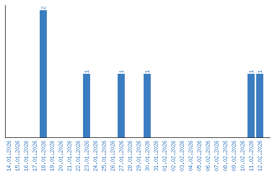
Viewing statistics by date