BusphotoBUSPHOTO

Beeldinformatie

390 KB


Afbeelding ID:123471
Bestandsgrootte:390 KB
Author:Сергей Кривов
Gepubliceerd op:21.01.2015 18:50 EET
Dagen in databank:3996
Unieke weergaven:271
Opmerkingen:0

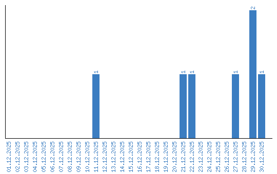
Statistieken per dag weergeven