BusphotoBUSPHOTO

Picture Statistics

495 KB


Picture ID:124718
File Size:495 KB
Author:Натаныч
Publication Date:18.02.2015 23:01 EET
Days in Database:4013
Unique views:625
Comments:0

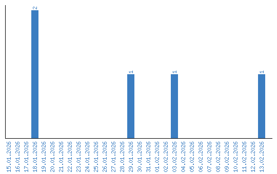
Viewing statistics by date